Differentiate Under The Integral Sign

Differentiation under the integral sign learnmath

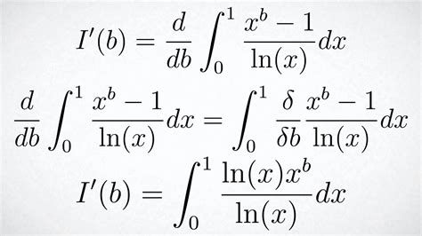
Differentiate Under The Integral Sign. I know you can get the result by using tan(x2) tan ( x 2) substitution but i need to solve it via feynman's trick. I am given the general result that:

Differentiation under the integral sign learnmath
Differentiation under the integral sign learnmath

Web author info last updated: Web in calculus, the leibniz integral rule for differentiation under the integral sign states that for an integral of the form ∫ a ( x ) b ( x ) f ( x , t ) d t , {\displaystyle \int _{a(x)}^{b(x)}f(x,t)\,dt,} 0 the right hand side is the famous gamma function, and does not depend on n being an integer. For any n2n:in other words, (1.1) z 1 0 tne tdt= n!; I know you can get the result by using tan(x2) tan ( x 2) substitution but i need to solve it via feynman's trick. +( everyone knows the leibniz rule for differentiating an integral: December 20, 2019 differentiating under the integral, otherwise known as feynman's famous trick, is a technique of integration that can be immensely useful to doing integrals where elementary techniques fail, or which can only be done using residue theory. Web differentiating under the integral sign proof. Web the leibniz integral rule gives a formula for differentiation of a definite integral whose limits are functions of the differential variable, it is sometimes known as differentiation under the integral sign. Web differentiate under the integral sign.

If we closely look at this definition, we can understand that integration is the reverse of derivative. Mathematical methods, leibniz integral rule created date: Web by differentiating under the integral sign? Web in calculus, the leibniz integral rule for differentiation under the integral sign states that for an integral of the form ∫ a ( x ) b ( x ) f ( x , t ) d t , {\displaystyle \int _{a(x)}^{b(x)}f(x,t)\,dt,} Web 1 e tx dx = 0 taking further derivatives yields 1 xne tx n! 0 the right hand side is the famous gamma function, and does not depend on n being an integer. Under fairly loose conditions on the function being integrated, differentiation under the integral sign allows one to interchange the order of integration and differentiation. Integration is the branch of calculus that deals with finding the sum of small changes in a variable with respect to another variable. December 20, 2019 differentiating under the integral, otherwise known as feynman's famous trick, is a technique of integration that can be immensely useful to doing integrals where elementary techniques fail, or which can only be done using residue theory. For almost all ω∈ω ω ∈ ω, the derivative ∂f(x,ω)/∂x ∂ f ( x, ω) / ∂ x exists for all x ∈ x x ∈ x. Web differentiate under the integral sign.